VAR 3

신용리스크 측정 방법론 - 주요 개념 (6) 미예상손실

이 시리즈는 바젤 협약에 따라 신용리스크를 측정하는 일반적인 프로세스에 대해 알아본다. 내부등급법의 체계가 처음 만들어진 바젤2를 중점으로 하여 신용리스크 측정 프로세스의 개념적, 개괄적 측면에 맞춰 서술한다. 규정 재개정에 따라 업데이트가 이루어지고 있는 구체적인 측정치나 모델에 대한 언급은 최대한 피한다. References 금융감독원, 바젤2 하의 통합리스크관리 모범규준 제1권 신용리스크금융감독원, 알기 쉬운 신BIS 제1편 신용리스크은행업감독업무시행세칙지난 챕터들에서 연달아 리스크 측정요소(RC)들에 대해서 공부했다. RC들을 활용하면 신용리스크의 핵심적인 요약 지표들을 계산할 수 있다. 2. 미예상손실1) 미예상손실의 정의미예상손실(UL; Unexpected Loss)이란 예상되는 규모를 크게 ..

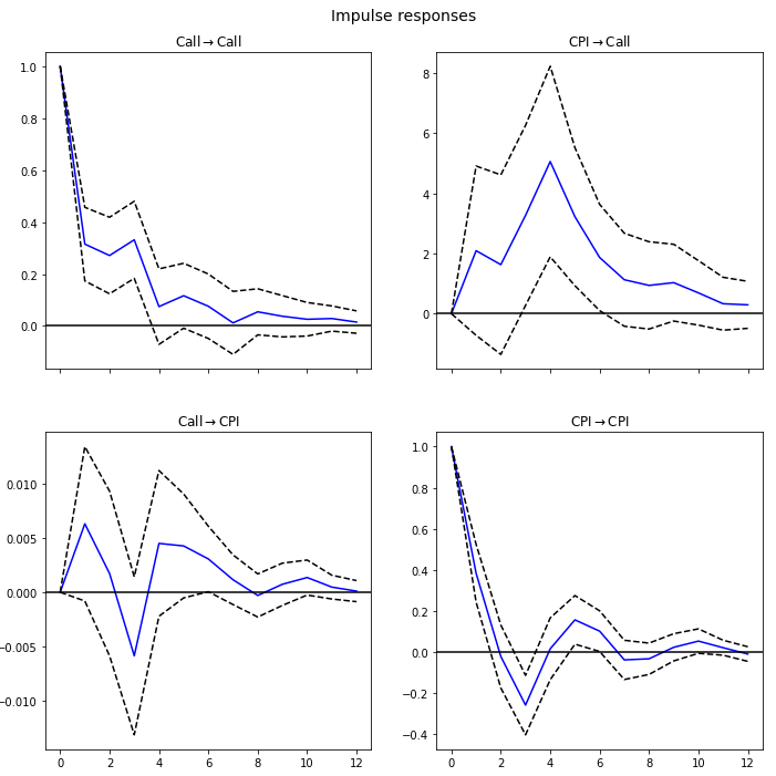
시계열 분석 #11: VAR 모형의 이슈들

전 포스팅에서 VAR의 기본 골격을 살펴보았다. 여기서는 VAR 모형을 풍부하게 만들어주는 추가적인 이슈들을 고려한다. 1. 구조적 벡터자기회귀모형(SVAR; Structural VAR) 이전 포스팅에서 다룬 VAR은 Reduced Form VAR이라고 한다. 축소모형이라고도 부른다. 계량경제학 모형에서 Structural과 Reduced의 구분은 그 모형이 경제학 이론을 반영한 계량 모형인지 혹은 단지 복수의 변수 간의 관찰된 통계적 상관성만을 기술하는 모형인지에 따른 것이다. 전자이면 Structural, 후자이면 Reduced이다. 가령 인플레이션율과 GDP 증가율을 VAR 모형으로 추정한다고 하자. reduced from VAR는 다음과 같이 경제이론에 대한 고려 없이 단순하게 두 변수로 구성된 ..

시계열 분석 #10 벡터자기회귀(VAR)

GitHub - SeungbeomDo/Time_Series_Analysis: Practical Codes for Time Series Modeling and Analysis Practical Codes for Time Series Modeling and Analysis - GitHub - SeungbeomDo/Time_Series_Analysis: Practical Codes for Time Series Modeling and Analysis github.com 1. 벡터 시계열 1.1. 벡터 시계열의 도입 이전 포스팅에서 다루었던 ARMA 모델 등은 단변량 시계열을 분석하는 모델이었다. 가령 주가 시계열 $\{X_{t}\}$은 주식의 가격이라는 하나의 대상을 시간에 걸쳐 관측한 값의 집합이다. $$\{..